Klasse informatie

De ACV Rang Pang rijdt zijn wedstrijden onder het reglement van de KNAF.

Voor enkele klasses zijn er aanvullende reglementen.

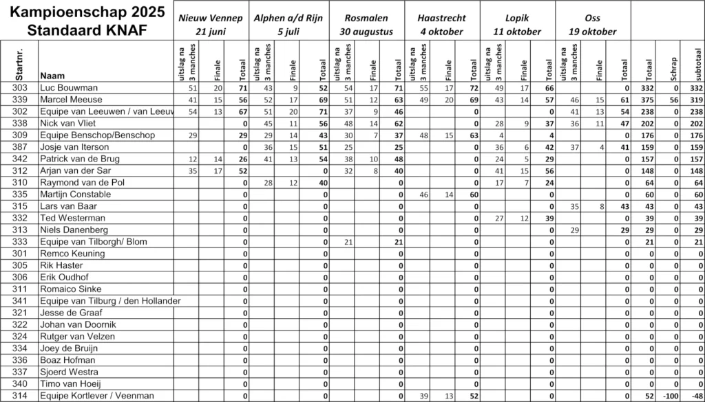
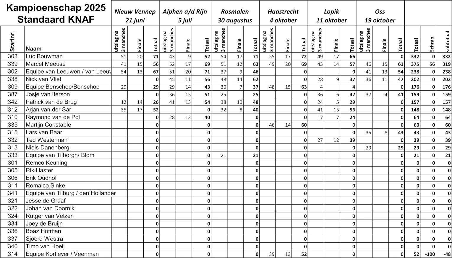
Uitslagen Kampioenschap 2025


Helaas zijn er geen uitslagen van het kampioenschap 2024 door te weinig wedstrijden.


Uitslagen Kampioenschap 2023